[ -
Índice
- ] |
Inicio
|
Anterior
|
Siguiente
| Descargas:
Imágen
Audio
|
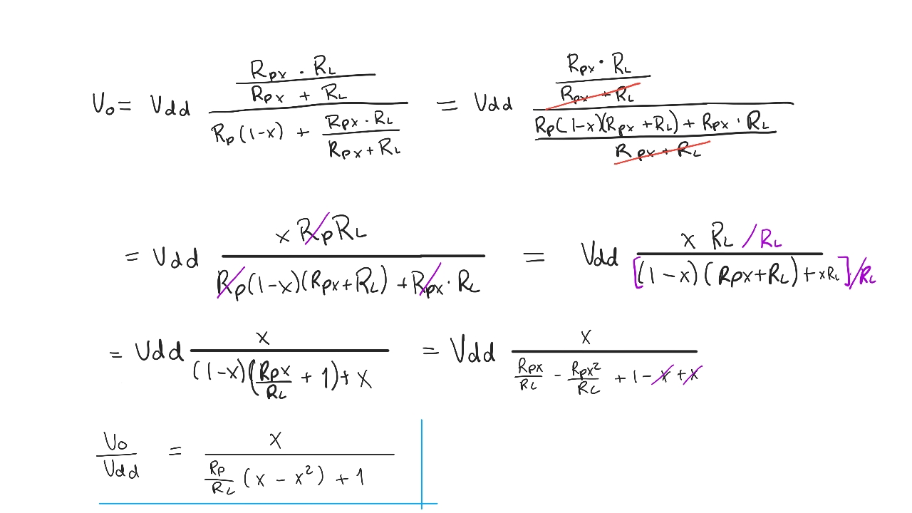
| * Ecuación del error en potenciómetro * | |
Créditos: Denisse Valeria Gutierrez Palacios.
Víctor Alberto Salinas Reyes -
7magico.com
.